borang sekolah kawalan
Kertas 3 Masa. Borang Kawalan Kelompok KEW 302 Borang Kawalan Kelompok KEW 302 1 Pack.
Permohonan Sekolah Kawalan Tingkatan 1 2019 Jaycectzx
Sedia maklum Sekolah Kawalan Menengah adalah terdiri daripada Sekolah Menengah Kebangsaan Agama SMKA Sekolah Agama Bantuan Kerajaan SABK Kelas Aliran Agama KAA dan Kelas Rancangan Khas KRK.
. Peperiksaan akhir tahun 2021. Untuk makluman anda permohonan Sekolah Kawalan 2023 Tingkatan 1 dijangka akan dibuka secara online pada bulan September 2022. Application ke sekolah kawalan tidak lagi boleh dilakukan secara online.
Mata pelajaran tahun darjah masa. SEKOLAH MENENGAH AGAMA SYUBBANIAH BATU KURAU PERAK BORANG KAWALAN UJIANPEPERIKSAAN Peperiksaan Percubaan PT3 2017 Mata pelajaran. Borang Sekolah Kawalan 2021 Minggu 27 Juni 2021 Tambah Komentar Edit.
SISTEM PERMOHONAN KE TINGKATAN SATU MAAHAD KAWALAN YAYASAN ISLAM KELANTAN. Borang Tuntutan Skim Takaful Pelajar Sekolah Malaysia pdf 579 MB 3786 muat turun Popular. Permohonan kemasukan ke Maahad Kawalan bagi tahun 2022 dibuka bermula 1 Disember 2021 sehingga 2 minggu selepas keputusan UPKK.
Academiaedu is a platform for academics to share research papers. Semakan senarai permohonan sekolah kawalan tingkatan 1 2022 untuk penempatan Kemasukan sekolah menengah melalui sistem online publicmoegovmy termasuk sekolah agama smka Permohonan secara online bagi. BPS A2 Sekolah Agama Mac2021 docx 137 KB 434 downloads 09 Sep 2021.
Up to 3 cash back borang kawalan peperiksaan. Permohonan Sekolah Kawalan 2022 SMKA SABK KAA KRK Online. Pembantu kepala sekolah wakasek hanya untuk jenjang sma dan sederajat dengan persyaratan yang harus diselesaikan.
SEKOLAH MENENGAH KEBANGSAAN TONG HUA BINTANGOR JAWATANKUASA PEPERIKSAAN BORANG KAWALAN PEPERIKSAAN. 750 950 pagi 2 Jam Guru pengawas Masa 1. Sekolah kebangsaan bandar uda 2 jalan padi mahsuri 81200 johor bahru.
Buku Pesanan Sekolah DKS005 View full product details. 3 Az Zahra Tarikh. Kertas Minit AM 6 RM1500.
Quick Shop Kertas Minit AM 6. Bahasa Melayu Tingkatan. Kertas 1 Kertas 2 Tempoh Masa.
Untuk makluman ibu bapa penjaga boleh membuat semakan keputusan permohonan penempatan ke Tahun 1 membuat pengesahan penempatan dan membuat rayuan ke sekolah pilihan sekiranya tidak bersetuju dengan sekolah yang ditempatkan mulai 1-30 Ogos 2022 di pautan httpspublicmoegovmy. Permohonan kemasukan ke Sekolah Kawalan Kementerian Pendidikan Malaysia KPM bagi pengambilan sesi 2021 akan dibuka kepada semua pelajar tahun 6 yang berkelayakan dan telah menduduki peperiksaan UPSR 2020 serta berminat untuk menyambung pelajaran mereka ke. Sains tahun 3 1045 1200.
Borang pengesahan kehadiran pengawal bagi perkhidmatan kawalan keselamatan di institusi-institusi pendidikan sekolah di bawah kementerian pendidikan malaysia Umur Pengawal 18-55 tahun Laporan Pemeriksaan Kesihatan daripada HospitalKlinik Kerajaan bagi pengawal yang melebihi 55 tahun. Laporan Pengesahan Status Peralatan Bagi Perkhidmatan PKK KPM xls 124 KB 1103 muat turun Popular. Tarikh borang permohonan diedarkan adalah bergantung kepada pengurusan sekolah anak masing-masing.
1 format surat rasmi terkini 11 contoh 2 format surat rasmi kerajaan malaysia 3 surat rasmi ringkas 4 contoh surat rasmi ringkas 41 tidak hadir ke sekolah 42 kepada jabatan 43 berhenti kerja 431 24 jam notis 432 1 bulan. 6 September 2017 RABU Masa. BPS A1 Sekolah Swasta Mac2021.
Surat Sekolah Kawalan Pdf Borang ini ditulis setiap hari persekolahan di dalam kelas guru kelas hendaklah menyediakannya dan diletakkan di dalam kelas mereka dalam bentuk buku. Contoh Surat Kebenaran membuka Akaun Simpanan i di Bank Rakyat beserta KADS1M Debit docx 359 KB 1443. Anda boleh memuat turun borang permohonan sekolah kawalan tingkatan 1 melalui Portal JPN Kelantan atau borang boleh.
Buku Pesanan Sekolah DKS 005 Sold Out RM1060. Peperiksaan akhir tahun 2021. Borang kawalan ujian 1.
Berikut dikongsikan adalah maklumat tentang kemasukan Sekolah Kawalan termasuk memaparkan tarikh syarat kelayakan dan aplikasi permohonan. Maklumat-maklumat Bagi Kertas UjianPeperiksaan Nama Kertas TingkatanKelas Kertas. Borang Sekolah Kawalan Pdf Pendaftaraan Sekolah Menengah Kawalan Kementerian Pendidikan Malaysia Kini Di Buka Pendaftaraan Sekolah Menengah Kawalan Kementerian.
Pdf Permohonan Sekolah Kawalan Ku Rushidi Ku Ahmad Academia Edu
Kemasukan Ke Tingkatan 1 Sekolah Kebangsaan Wangsa Maju Zon R10 Page 3
Borang Kemasukan Data Sekolah Borang Kawalan Pdf
Permohonan Sekolah Kawalan 2022 Smka Kaa Sabk Krk
Borang Rk001 Dan Takwim Permohonan Pdf
Smk Dato Kailan Contoh Penutup Kerja Kursus Perniagaan Tingkatan 5 Contoh Penutup Kerja Kursus Perniagaan Tingkatan 5 Lartsdanh
Permohonan Tingkatan 1 2022 Pendaftaran Semakan Penempatan
Permohonan Tingkatan 1 Sekolah Kawalan Putrajaya 2022 Smka Kaa
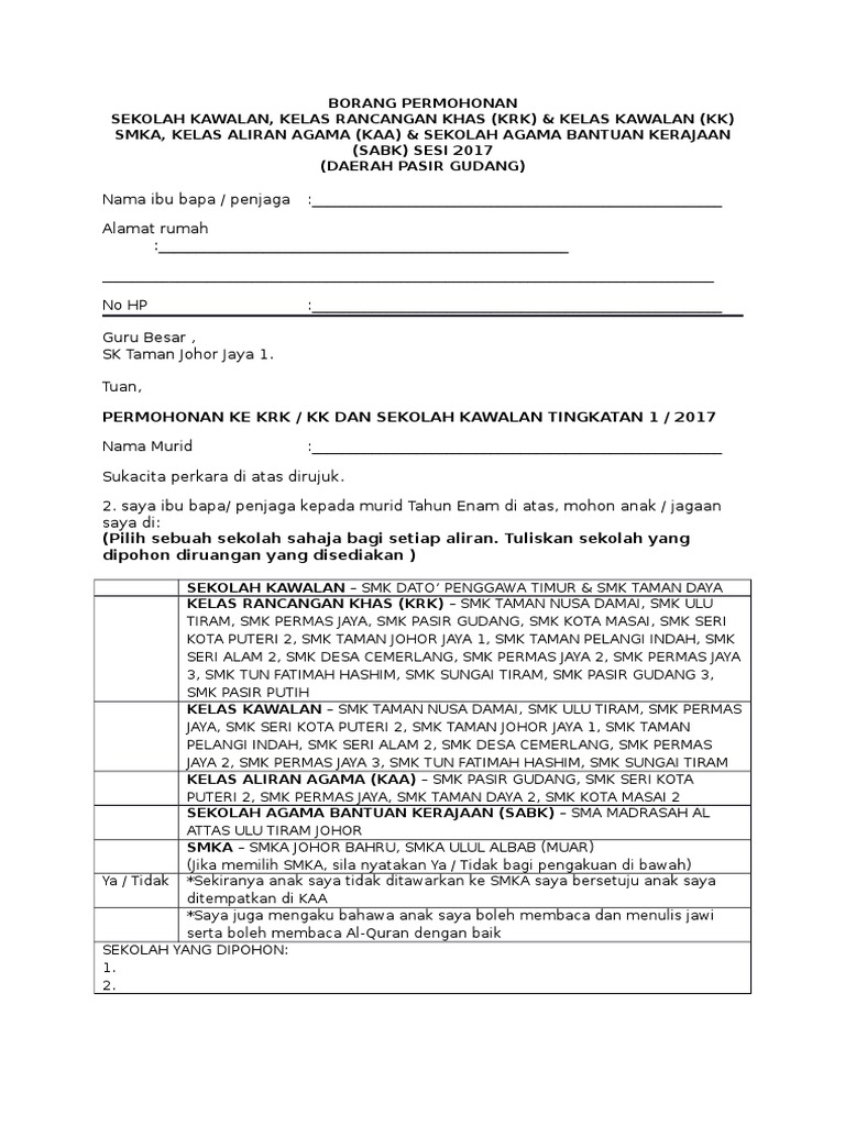
Borang Permohonan Sekolah Kawalan Pdf
Borang Kemasukan Data Sekolah Borang Kawalan Pdf
Permohonan Ke Sekolah Kawalan 2018 Madalynngwf
Permohonan Ke Sekolah Kawalan Kelas Kawalan Kelas Rancangan Khas Sekolah Menengah Kebangsaan Agama Sekolah Agama Bantuan Kerajaan Dan Sekolah Berasrama Penuh Tahun 2014 Sekolah Kebangsaan Wangsa Maju Zon R10
Permohonan Sekolah Kawalan 2022 Smka Kaa Sabk Krk Tingkatan 1
Permohonan Sekolah Kawalan 2019
Permohonan Kemasukan Murid Tingkatan 1 Ke Sekolah Kawalan Smka Smka Kerian Tmua Dan Kaa Bagi Negeri Perak Tahun 2018 Pdf

